Свидетельство о регистрации ОПО
10 апреля 2016
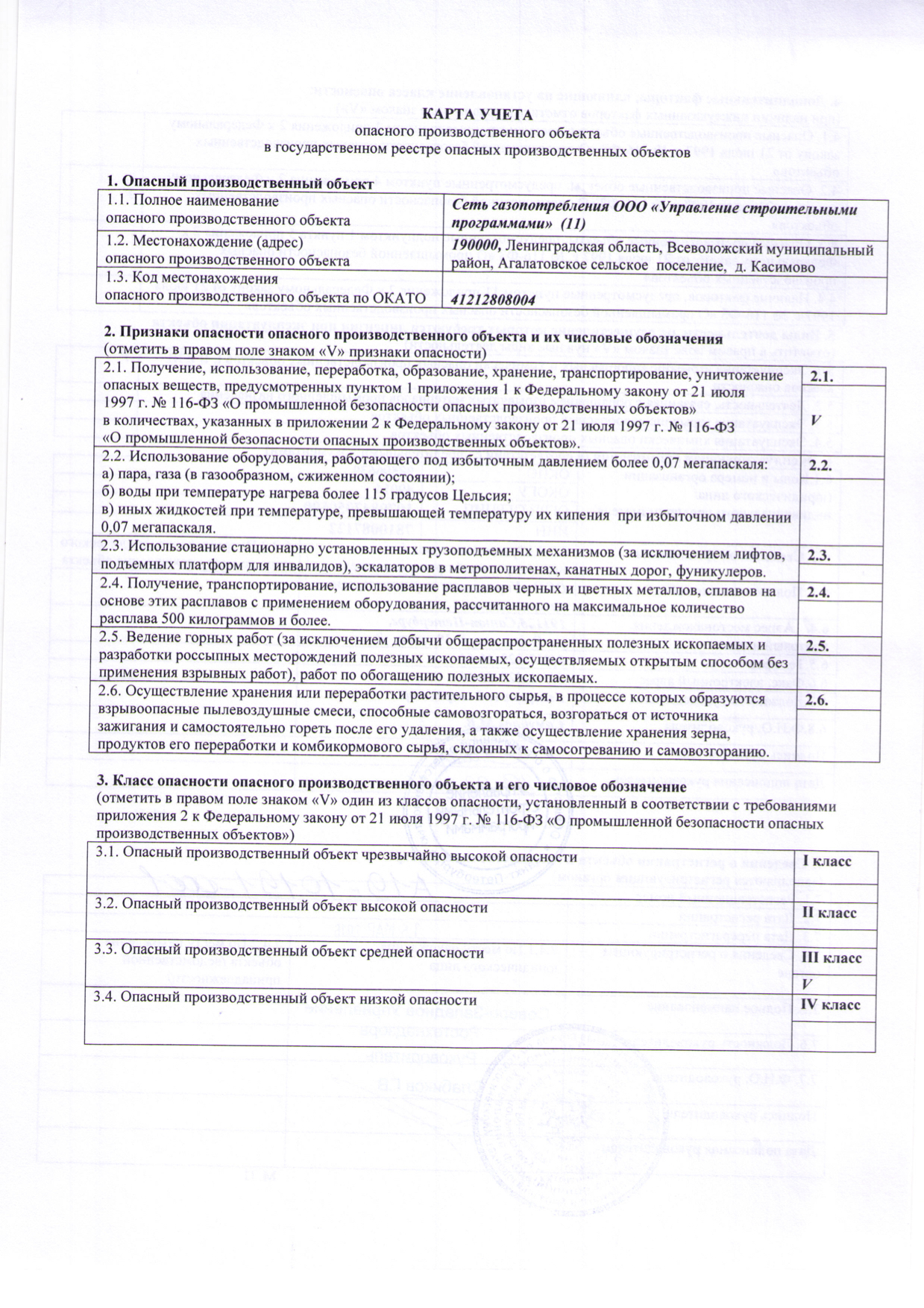
Получено свидетельство о регистрации ОПО (опасного производственного объекта) на газораспределительную сеть поселка.
Получено свидетельство о регистрации ОПО (опасного производственного объекта) на газораспределительную сеть поселка.
Наши менеджеры с удовольствием ответят на него.
| Ваше имя |
|
|---|---|
| Ваш номер телефона |
|
|
|
|
| Ваш вопрос или сообщение | |